Son dakika: TOKİ 42 ilde konut satışı yapacak: İşte başvuru bilgileri.
TOKİ'den bir son dakika açıklaması yapıldı. Yapılan açıklamada birçok ilde konut satışı yapılacağına yer verildi. Açık arttırma usulü ile yapılacak konut satışına baktığımızda açık arttırma tarihine yer verildi. Biz de Finans7.com olarak bu yazımızda konutlara ilişkin bilgilere yer verdik.
YÜZDE 25 PEŞİNAT, KALAN PARA 120 AY VADE
Konut satışları yüzde 25 peşinatla yapılacak. Peşinatın ödenmesinden sonra kalan para 120 ay vade ile ödenecek.
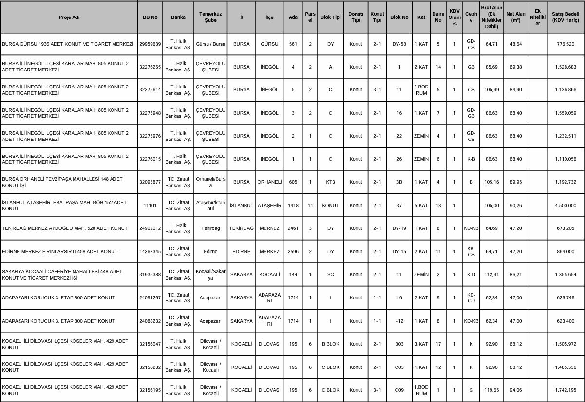
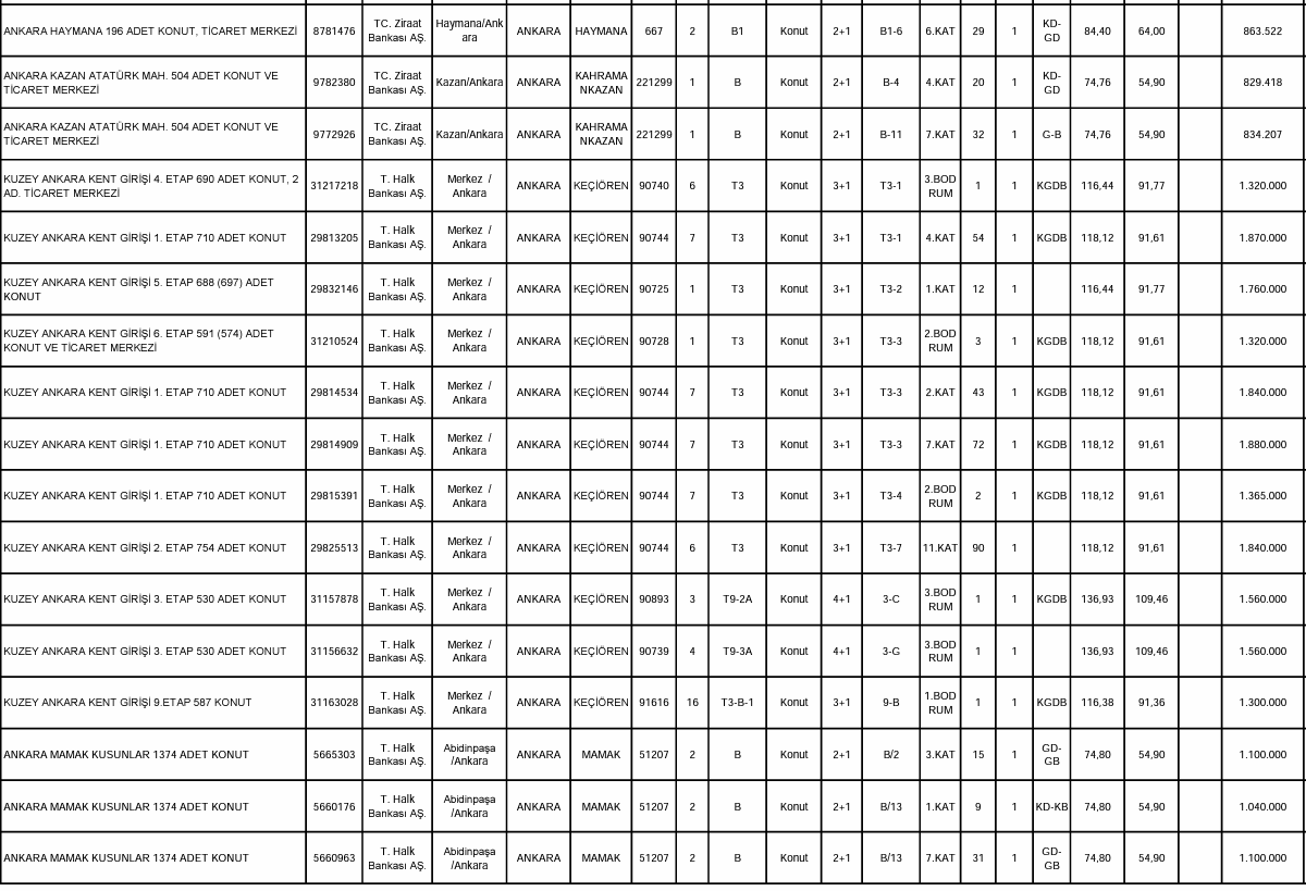
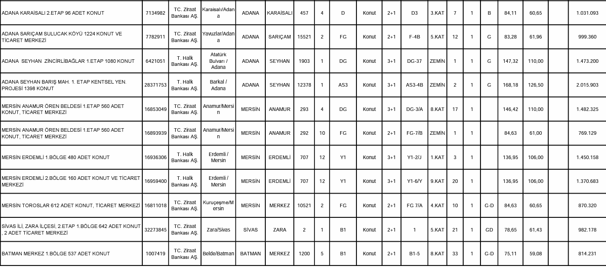
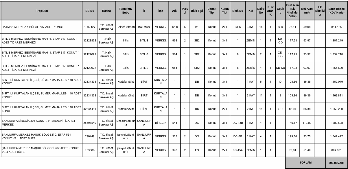
KONUTLARIN SATILACAĞI İLLER, ODA SAYISI VE EVLERİN FİYATLARI
Aşağıdaki fotoğrafların büyük hali için TIKLAYIN












BAŞVURU NASIL YAPILACAK?
1+1, 2+1 ve 3+1 evlerin satıldığı listeye baktığımızda evlerin fiyatlarının 550 bin liradan başladığı görülüyor. Satışa ilişkin bilgiler şu şekilde verildi:
Yetkili Banka Şubelerine Nakit olarak; muhammen bedeli 999.999.- TL ye kadar olanlar için 50.000.-(Ellibin) TL, muhammen bedeli 1.000.000 – 1.999.999.- TL'ye kadar olanlar için 100.000.-(Yüzbin) TL, muhammen bedeli 2.000.000.- TL ve üstünde olanlar için 200.000.-(İkiyüzbin) TL, katılım teminatı ödendiğine dair dekont, - T.C.Kimlik Kartı veya Fotoğraflı nüfus cüzdanı, - Tüzel kişiler için vergi numarası, - Vekaleten yürütülecek işlemlere ilişkin olarak; Başvuru aşamasında; ilzama, teklif vermeye, ihaleye katılmaya, ihale bedelini ödemeye, tüm belgeleri düzenleme, imzalama, beyan ve taahhütlerde bulunma yetkisini içeren vekaletname, Sözleşme imzalama aşamasında; İdarece satışa sunulan taşınmazlarsan satın almak üzere başvuruda bulunma, Gayrimenkul satış sözleşmesi imzalama, Satın alınan taşınmazın peşinatını ödeme ve borçlanma, Taksitlerini yatırma, Taşınmazı teslim alma, Damga vergisi, KDV, banka komisyonu ve vb. masrafları yatırma, Taşınmaza ilişkin tüm belgeleri düzenleme ve imzalama, Beyan ve taahhütlerde bulunma, TOKİ'den Gayrimenkul Satış sözleşmesi imzalayarak satın aldığım taşınmazın tapusunu adıma alma işlemleri ile ilgili gerekli belgeleri imzalamaya, işlemleri yürütmeye, tapu devri ile ilgili gerekli bedelleri ödemeye, Adıma Bankalarda Bankacılık sözleşmelerini, belgeleri/sözleşmeleri imzalamaya ve her nev'i hesap açtırma yetkisini içeren vekaletname, - Başvuru bir tüzel kişilik adına yapılacak ise, Şirketin yetki belgesi ve yetkili kişinin vekalet ile imza sirküleri, (Alıcılar başvuru sırasında 'Açık Artırma Satış Şartnamesi'ni imzalayacaklardır.)
Ayrıntılı bilgilere www.toki.gov.tr ile www.emlakmuzayede.com.tr internet adreslerinden ve 444 86 54 ile 0 212 608 15 00 numaralı telefonlardan ulaşılabilecek.
Kadın erkek konut grubumuza > TIKLA KATIL


