GSB personel alımı başvuru sonuçları açıklandı.
Gençlik ve Spor Bakanlığı resmi internet adresi üzerinden bir son dakika açıklaması yapıldı.
PGM duyurular kısmından yayınlanan son dakika açıklamasına baktığımızda psikolog, büro personeli ve temizlik personeli kadrolarına yapılan personel alımının başvuru sonuçlarının açıklandığı ve kazanan adayların belli olduğuna yer verildi.
GSB resmi sayfasından konu ile ilgili yapılan son dakika açıklaması şu şekilde:
"Bakanlığımız merkez ve taşra teşkilatı birimlerinde istihdam edilmek üzere, boş bulunan sözleşmeli personel pozisyonları için 657 sayılı Devlet Memurları Kanununun 4'üncü maddesinin (B) fıkrası ile 06/06/1978 tarihli ve 7/15754 sayılı Sözleşmeli Personel Çalıştırılmasına İlişkin Esasların Ek-2'nci maddesi çerçevesinde '2023 Yılı Sözleşmeli Psikolog, Büro Personeli ve Destek Personeli (Temizlik) Alımı' başvuruları 28 Ağustos – 01 Eylül 2023 tarihlerinde gerçekleştirilmiş olup adaylar, yerleştirme sonuçlarını Cumhurbaşkanlığı İnsan Kaynakları Ofisi Başkanlığı kariyer kapısı (https://isealimkariyerkapisi.cbiko.gov.tr) Başvurularım – Değerleme Sonuçları başlığı altından öğrenebileceklerdir.
İlan edilen kontenjan sayısına girerek yerleştirilen ve atanmaya hak kazanan asıl adaylar, aşağıda belirtilen belgeleri Merkez Teşkilatına yerleşen adaylar Bakanlık Merkez Binası Personel Genel Müdürlüğü İşçi ve Sözleşmeli Personel Daire Başkanlığına, Taşra Teşkilatına yerleşen adaylar ise yerleştikleri Gençlik ve Spor İl Müdürlüklerine 18 – 22 Eylül 2023 tarihleri arasında mesai saatleri içerisinde teslim edeceklerdir"
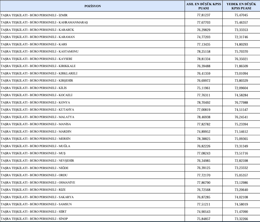
TABAN PUANLAR AÇIKLANDI
Kadroların taban puanları şu şekilde: (Aşağıdaki resimlerin büyük ve PDF hali için TIKLAYIN)
















ADAYLARDAN İSTENİLEN BELGELER
a) Türkiye Cumhuriyeti Kimlik Numarası ve adres bilgilerine ilişkin yazılı beyan.
b) Psikolog pozisyonu için; Üniversitelerin lisans düzeyinde eğitim veren Psikoloji bölümü ile bu bölüme denkliği Yükseköğretim Kurulu tarafından kabul edilmiş bölümlerden mezun olduğunu gösterir diploma veya mezuniyet belgesi.
Büro Personeli pozisyonu için; Üniversitelerin en az lisans düzeyinde eğitim veren İktisat, İşletme, Maliye, Muhasebe, Kamu Yönetimi, Ekonometri, Uluslararası İlişkiler, İnsan Kaynakları Yönetimi ve Çalışma Ekonomisi ve Endüstri İlişkileri Bölümleri ile bu bölümlere denkliği Yükseköğretim Kurulu tarafından kabul edilmiş bölümlerinden mezun olduğunu gösterir diploma veya mezuniyet belgesi.
Destek Personeli (Temizlik) pozisyonu için; Ortaöğretim (lise ve dengi) öğrenim düzeyine sahip olduğunu gösterir diploma veya mezuniyet belgesi.
c) Yerleştirme belgesinin internet çıktısı.
ç) Sağlık açısından görevini devamlı yapmasına engel bir durumu olmadığına dair yazılı beyan.
d) Görevini devamlı yapmasına engel olabilecek akıl hastalığı bulunmadığına dair yazılı beyan.
e) Yazılı özgeçmiş.
f) Son altı ay içerisinde çekilmiş iki adet biyometrik fotoğraf.
g) Adli sicil kaydına ilişkin yazılı beyan ve e-Devlet portalından alınmış doğrulama kodlu belge.
h) Erkek adaylar için askerlikle ilişiği olmadığına dair yazılı beyan.
ı) Varsa SGK hizmet dökümü.
i) Kamu kurum ve kuruluşlarında 4/B sözleşmeli personel pozisyonlarında tam zamanlı olarak görev yapmakta iken kurumlarınca sözleşmesi feshedilen ya da sözleşmesini tek taraflı fesheden adayların, bir yıllık bekleme süresini doldurdukları ile ilgili önceki kurumlarından alınmış onaylı hizmet belgesi.
SONUÇ EKRANI
Sonuçlara Cumhurbaşkanlığı Kariyer Kapısı üzerinden ulaşabilirsiniz.
https://isealimkariyerkapisi.cbiko.gov.tr
Linke tıklayın. Açılan sayfada e devlet girişi kısmından giriş yapın. Giriş yaptıktan sonra başvurularım kısmından sonucunuzu öğrenebilirsiniz. Kadın erkek diğer adaylarla tanışmak - bilgi alış verişi için TIKLA TAKİP ET